Typical values of heat flux and thermal conductivities in HVAC application
Typical values of heat flux and thermal conductivities in HVAC application to help define boundary condition definition of temperature in tensorHVAC-Pro
THEORY-GUIDE
Wiratama
11/4/20251 min read
How to Calculate Temperature Gradient from Heat Flux (Complete Guide for HVAC Engineers)
Understanding the relationship between heat flux and temperature gradient is essential in HVAC design—especially when evaluating wall insulation performance, predicting heat transfer through building materials, or analyzing coil and piping systems. This article explains the calculation clearly and provides a useful table of typical heat flux values in HVAC applications.
What Is Heat Flux?
Heat flux represents the rate of heat transfer per unit area.
Its unit is W/m², and it tells us how much heat crosses a surface.
In conduction, heat flux is strongly linked to the temperature gradient inside the material.
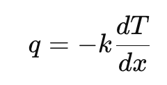
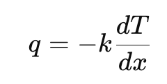
Fourier’s Law: The Foundation
The relationship between heat flux and temperature gradient is given by Fourier’s Law of Heat Conduction:


Where:
q = heat flux (W/m²)
k = thermal conductivity (W/m·K)
dT/dx = temperature gradient (K/m)
The negative sign indicates that heat flows from hotter → colder region.
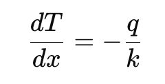
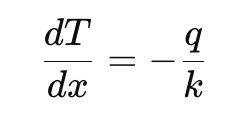
How to Calculate Temperature Gradient
Rearranging Fourier’s Law:




To learn more about human metabolism-related heat flux, please check this article >>
